有正能量的网络流
网络流
https://chuna2.787528.xyz/chara-/p/18722684
题目
https://vjudge.net/contest/780784
D
令 \(m\times n\) 的矩阵 \(A\) 满足 \(a_{i,j}=[l_i\le j\le r_i]\),原问题是
\(A\bm x\ge \bm{d}\),\(n\) 个 \(x_i\ge 0\),求 \(\min(\bm{c}^{\mathrm{T}}\bm x)\),把它对偶一下,就变成了
\(A^{\mathrm{T}}\bm y\le \bm{c}\),\(m\) 个 \(y_i\ge 0\),求 \(\max(\bm{d}^{\mathrm{T}} \bm y)\)。
发现 \(A^{\mathrm{T}}\) 一列有一段 \(1\),为了契合费用流考虑把它差分。但是只有等式才能差分,于是我们新增 \(n\) 个变量 \(l_i\),使得 \(A^{\mathrm{T}}\bm y+\bm{l}=\bm{c}\),且 \(l_i\ge 0\)。然后将第 \(i\) 行减去第 \(i-1\) 行,写出来大概是
这样每个变量的系数都是恰好一个 \(1\) 和 \(-1\),所以就可以直接用费用流解决了。
j
\(T\) 里减,\(T\) 外加,每条边是一个变量,钦定树边 \(-x_i\),非树边 \(+x_i\)。目标 \(\min(\bm{d}^{\mathrm{T}}\bm x)\),条件为 \(w_i-x_i\le w_j+x_j\Rightarrow x_i+x_j\ge \max(w_i-w_j,0)\),如果第 \(i\) 条边是树边,第 \(j\) 条边是非树边。
相当于有一个 \(O(nm)\times m\) 的系数矩阵 \(A\),条件为 \(A\bm x\ge \bm{w}\),\(x_i\ge 0\),目标 \(\min(\bm{d}^{\mathrm{T}}\bm x)\)。直接对偶得到 \(A^{\mathrm{T}} \bm y\le \bm{d}\),目标 \(\max(\bm{w}^{\mathrm{T}}\bm y)\)。注意到 \(A^{\mathrm{T}}\) 一列仅有两个 \(1\),一个是第 \(i\) 行,一个是第 \(j\) 行,不妨假设第 \(i\) 条边是树边,第 \(j\) 条边是非树边。为了转换成费用流形式,不妨将所有树边的系数全部取反,那么第 \(i\) 行就变成了 \(-1\),对应的限制变成 \(\ge -d_{i}\)。直接套费用流即可。
M
先来点前置知识。
在多元函数 \(f(x_1,x_2,\cdots,x_n)\) 中,如果
存在,则称其为函数在点 \(x_1,x_2,\cdots,x_n\) 上对 \(x_i\) 的偏导数,记作 \(\frac{\partial}{\partial x_i}f(x_1, x_2, \cdots, x_n)\)。
计算法则:求偏导时,将其他自变量看作常数。如 \(f(x,y)=x^2y+7xy^2\) 对 \(x\) 的偏导数 \(\frac{\partial}{\partial x}f(x,y)=2xy+7y^2\)。
定义一个多元函数的梯度是一个向量,\(\nabla f(x_1,x_2,\cdots,x_n)=(\frac{\partial}{\partial x_1},\frac{\partial}{\partial x_2},\cdots,\frac{\partial}{\partial x_n})\)。梯度的方向是函数在该点处变化最快的方向,也就是函数值增长最快的方向,而梯度的模(长度)则表示函数在该方向上的变化率(增长率)的大小。
具体什么用不用管,只需要知道想要求一个多元函数的极值点,只需令 \(\nabla=0\),列出方程组并求解,得到的点就有可能是极值点。
拉格朗日乘数法。有一个 \(n\) 元函数 \(f(\boldsymbol x)\) 和 \(m\) 条限制,第 \(i\) 条形如 \(g_i(\boldsymbol x)=0\),求出在满足所有限制下 \(f\) 的极值点。拉格朗日乘数法指出,可以添加拉格朗日乘子 \(\boldsymbol\lambda=(\lambda_1,\lambda_2,\cdots,\lambda_m)\) 并构造拉格朗日函数
声称这个函数的极值点和 \(f\) 一样,为了求解其极值点,只需解方程
拉格朗日乘数法将条件极值转为单独的一个函数极值。更深层次来说,拉格朗日函数是条件极值的对偶问题。
在本题当中,目标为求出 \(f(\boldsymbol x)=\displaystyle \sum_{i=1}^{m}x_i^2c_i\) 的最小值,限制是
然后按照上文构造拉格朗日函数,解方程
高斯消元,\(n+m\) 个变量,\(n+m\) 个方程。
G
不妨假设 \(b_i\le b_j\),那么限制变为 \(a_i,a_j\ge b_i,\max(a_i,a_j)\ge b_j\)。首先对于第一个可以先将不满足的 \(a\) 加到 \(b_i\),所以只需处理第二个。我们将 \(a<b\) 的看作 A 类,\(a\ge b\) 的看作 B 类,那么 \(i\) 一定是 B 类,如果 \(j\) 也是 B 类这个限制就没用了,所以 \(j\) 是 A 类。
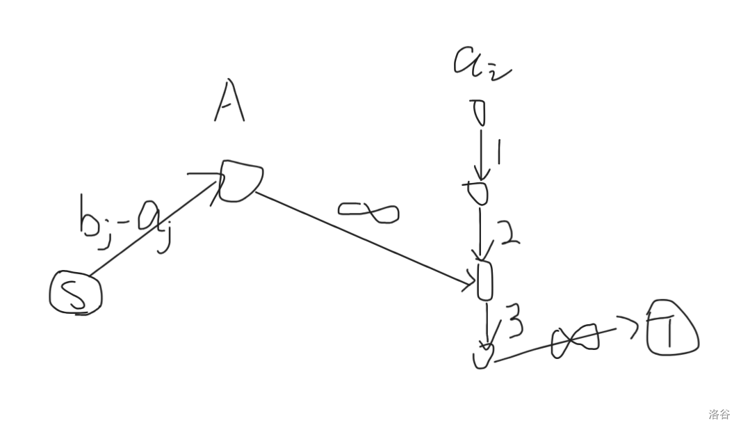
同时我们发现,\(a_j\) 只要变到 \(b_j\) 所有跟 \(j\) 有关的限制都没了,所以可以建出以下图。

本质上还是一种切糕,要么直接让 \(b_j=a_j\),要么让 \(a_i+(b_j-a_i)\)。并且容易发现 \(a_i\) 不可能割多条边。所以最终点数 \(O(nV)\),边数 \(O(nV+m)\)。

浙公网安备 33010602011771号