毕业论文技巧:Word中使用Mathtype对公式自动编号(带章节号)
参考:毕业论文技巧:Word中使用Mathtype对公式自动编号(带章节号)_mathtype自动编号按章节-CSDN博客
在毕业论文或者其他类似的长篇论著写作中,常需要根据章节号对公式进行依次编号,使用Mathtype即可做到。
需要说明的是,Mathtype对公式的编号与word本身的分页符、分节符等分隔标记没有任何关系。

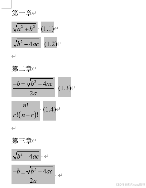
所以在这里,我在一页中创建假定的三个章节来进行演示。可以看到,此时每个章节的公式都没有任何编号。下面开始对公式进行编号:
- 1、下拉【插入编号】---【格式化】,设置编号的格式


主要是红框中的部分,此处我们选上了章节号,下面预览的格式为(1.1),如有其他要求可在这里修改.
- 2、鼠标放置于公式处右侧,点击【插入编号】,此时弹出窗口只询问公式序号的起始顺序,先不用管,默认是1即可。
当然,这里也可以根据需要修改。

这样对公式插入序号之后我们可以看到效果:点了插入的公式后面会有序号,但是没有根据章节区分,下面设置根据章节区分序号。

- 3、鼠标放置于第一章的最开始位置,比如第一章标题的最右侧,然后,下拉【Mathtype】中的【章&节】,点击【插入分隔符】,此时在文档最开始的位置出现红色字符,并弹出窗口,设置章节序号为1即可,这就意味着后面的章节号都将是1。

- 4、接下来,在第二章标题的最右侧,点击【Mathtype】中【章&节】---【插入下一章】,此时在第二章前面出现下一章的分隔符号,后面的章节号全部变为2,以此类推,设置后续的章节号即可。


注意,理论上这个红色分隔符只有在弹出窗口的时候存在,设置完毕后即会消失,若发现红色分隔字符一直存在,按ctrl+shift+8隐藏即可,反之也可以按此快捷键使之出现,从而进行修改。
后续若想修改章节分隔也可以点击“修改分隔符”进行修改。

浙公网安备 33010602011771号